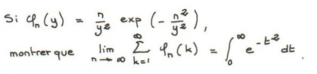
Exercice 16:     Imprimer